CÔNG TY CỔ PHẦN ĐẦU TƯ DIA
Trang chủ
Về chúng tôi
Dự án
Pháp lý
Noble Palace Tay Thang Long
Noble Palace Garden
Tin tức
Liên hệ
Noble Palace Garden
Pháp lý dự án
I - Thông tin về dự án bất động sản
2025-0224G-936-UBNDHN. Quyết định chấp thuận điều chỉnh chủ trương đầu tư (thay đổi lần 2)
2024-1111G-5885-UBND. Quyết định vv điều chỉnh bổ sung một số nội dung tai quyết định 977
2020-0304G-954-UBND. Quyết định điều chỉnh chủ trương đầu tư
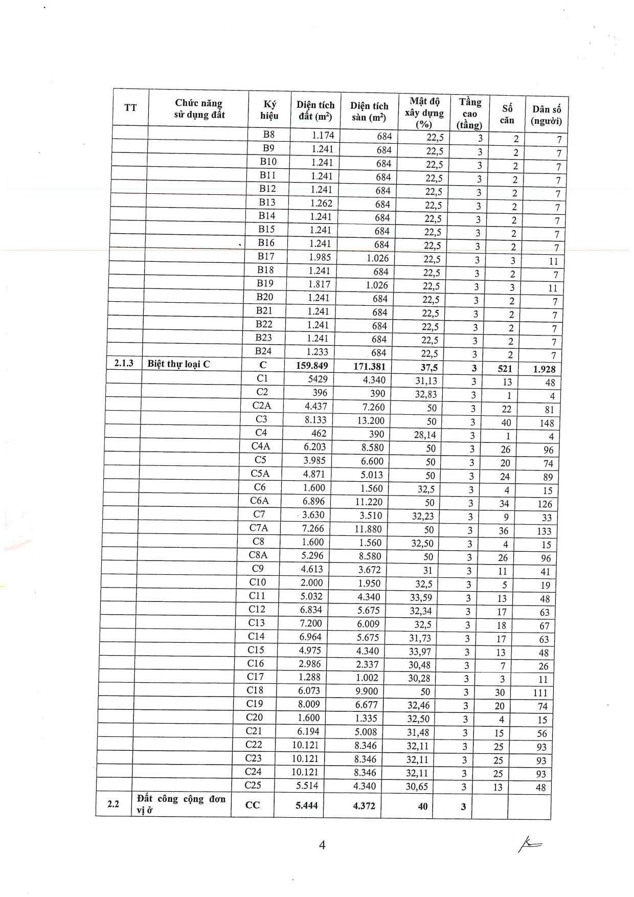
2017-1004G-6878-UBND. Quyết định phê duyệt điều chỉnh cục bộ QHCT 1.500
2008-0418G-977-UBNDTHT. Quyết điịnh thu hồi 449.683,9m2 trên địa bàn giao DIA thực hiện dự án
II - Thông tin về nhà ở, công trình xây dựng hình thành trong tương lai
2008-0418G-977-UBNDTHT. Quyết điịnh thu hồi 449.683,9m2 trên địa bàn giao DIA thực hiện dự án
2019-0718G-395-SXD. Thông báo kết quả thẩm định TKCS
2019-1001G-551-SXD. Thông báo kết quả thẩm định TKCS các công trình (Đợt 2)
2023-0313G-56-QLHĐXD. Thông báo kết quả thẩm định báo cáo nghiên cứu khả thi
12899_Văn bản đủ điều kiện mở bán
TH – Thông báo khởi công
TH Biên bản nghiệm thu
2017-1004G-6878-UBND. Quyết định phê duyệt điều chỉnh cục bộ QHCT 1.500
ĐĂNG KÝ NHẬN TIN
Vui lòng để lại thông tin email. Chúng tôi sẽ phản hồi lại cho bạn trong thời gian sớm nhất!
Đăng ký